Warning:
JavaScript is turned OFF. None of the links on this page will work until it is reactivated.
If you need help turning JavaScript On, click here.
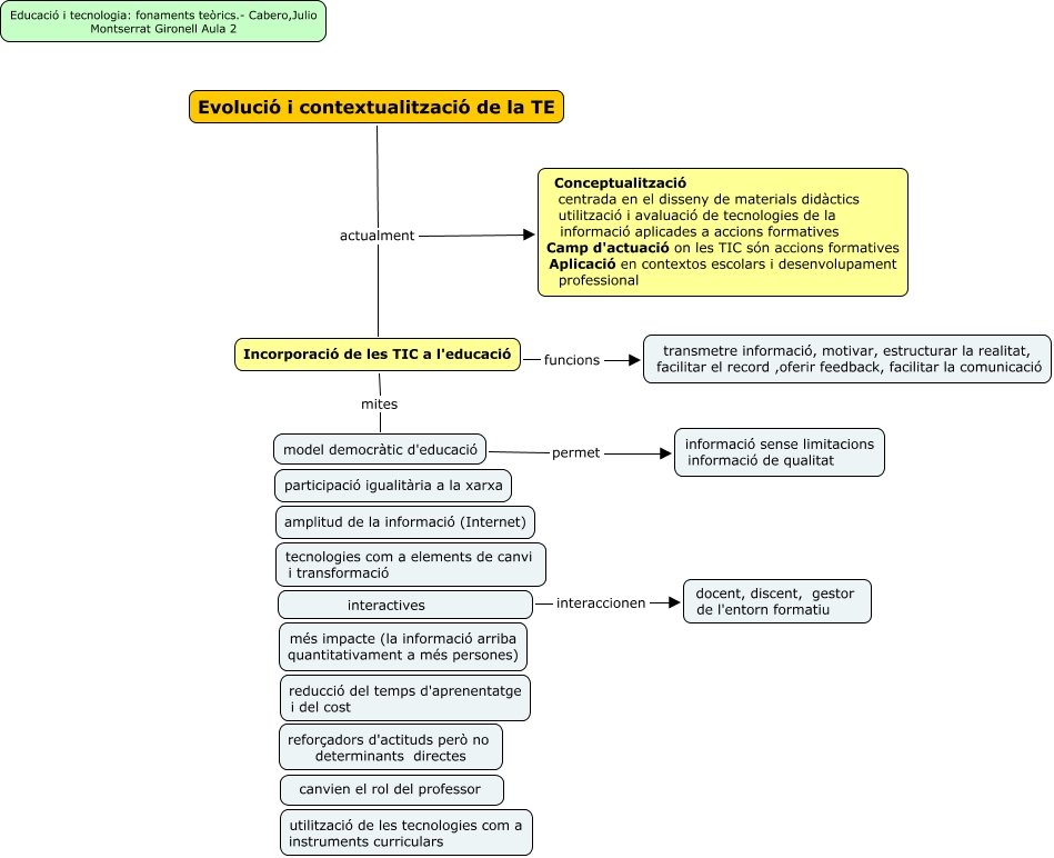
Este Cmap, tiene información relacionada con: gironell_montserrat_mapa2, Evolució i contextualització de la TE actualment Conceptualització centrada en el disseny de materials didàctics utilització i avaluació de tecnologies de la informació aplicades a accions formatives Camp d'actuació on les TIC són accions formatives Aplicació en contextos escolars i desenvolupament professional, model democràtic d'educació permet informació sense limitacions informació de qualitat, interactives interaccionen docent, discent, gestor de l'entorn formatiu, Evolució i contextualització de la TE actualment Incorporació de les TIC a l'educació, Incorporació de les TIC a l'educació mites model democràtic d'educació, Incorporació de les TIC a l'educació funcions transmetre informació, motivar, estructurar la realitat, facilitar el record ,oferir feedback, facilitar la comunicació