IHMC Public Cmaps (3)

        Users (create your own folder...)
            EDHD5007
                OLD 5007 CMAPS
                    Final CMAPS
                    Nora Austin

                        Elastic Collision.url
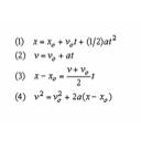
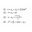
                        Eqns.jpg
                        image.jpg
                        Inelastic Collision.url
                        Law of Inertia.url
                        Mr. Newton.jpg
                        Nora Austin.cmap
                        PJ Motion.jpg
                        Projectile Motion.jpg
                        Simulation.url