IHMC Public Cmaps (3)

        Users (create your own folder...)
            Charo Velilla Mapas ESO BACH
            1BACH

                angulo.jpg
                argumento.jpg
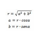
                Binomica a Polar.png
                Captura.jpg
                Conjugado.jpg
                ConjugadoGrafica.jpg
                Ecuacion.jpg
                FT.jpg
                graficapolar.jpg
                modulo.jpg
                modulo2.jpg
                Numeros Complejos.cmap
                Operaciones.png
                polar.jpg
                Polar a Binomica.jpg
                Polar a Trigo.jpg
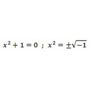
                unidadImaginaria.jpg